Peraturan Pendidikan Khas 2013 / (2) ulasan ppd atau jpn bagi membantu pendaftar membuat keputusan.

Peraturan Pendidikan Khas 2013 / (2) ulasan ppd atau jpn bagi membantu pendaftar membuat keputusan.. Rombakan dan pengubahsuaian ke atas semua modul sedang giat dijalankan agar bersesuaian dengan sukatan terbaru kurikulum standart sekolah rendah (kssr). § mengacu pada peraturan yang berlaku § dipandang sebagai keseluruhan manajemen sekolah. Punca kuasa pendidikan khas #2. Made for free at coggle.it. Kod amalan ertinya kod amalan pendidikan murid berkeperluan pendidikan khas

Pemerintah telah menerbitkan peraturan pemerintah no. Peraturan pemerintah yang mengatur tentang standar nasional pendididikan adalah peraturan pemerintah (pp) nomor 19 tahun 2005 tentang standar nasional pendidikan adalah kriteria minimal tentang sistem pendidikan di seluruh wilayah hukum negara kesatuan republik indonesia. Kod amalan ertinya kod amalan pendidikan murid berkeperluan pendidikan khas Rombakan dan pengubahsuaian ke atas semua modul sedang giat dijalankan agar bersesuaian dengan sukatan terbaru kurikulum standart sekolah rendah (kssr). (2) ulasan ppd atau jpn bagi membantu pendaftar membuat keputusan.

Ppki Sk Bukit Rokan Home Facebook
Ppki Sk Bukit Rokan Home Facebook from lookaside.fbsbx.com
Bahwa untuk melaksanakan ketentuan pasal 302 peraturan menteri pendidikan dan kebudayaan nomor 45 tahun 2019 tentang organisasi dan dan kebudayaan tentang organisasi dan tata kerja unit pelaksana teknis kementerian pendidikan dan kebudayaan; Search across a wide variety of disciplines and sources: Punca kuasa pendidikan khas #2. Kod amalan ertinya kod amalan pendidikan murid berkeperluan pendidikan khas U konsep dan kepentingan pendidikan khas. Peraturan pemerintah tentang pendidikan dasar dan menengah pp no.32 tahun 2013 (standar nasional pendidikan) : (2) ulasan ppd atau jpn bagi membantu pendaftar membuat keputusan. Articles, theses, books, abstracts and court opinions.

Akta pendidikan khas aiisyah sairi nurul atiqah johari norsyamimi rusli akta pendidikan khas 1997 pembentukan kurikulum fleksibel peluang kerjaya dan pendidikan mengakui hak murid berkeperluan khas utk diinklusifkan dalam kelas biasa.

(2) ulasan ppd atau jpn bagi membantu pendaftar membuat keputusan. § mengacu pada peraturan yang berlaku § dipandang sebagai keseluruhan manajemen sekolah. Pendidikan khas adalah perkhidmatan dan kemudahan pendidikan yang disediakan untuk individu berkeperluan khas, atau kurang upaya, yang terdiri daripada mereka yang mengalami kecacatan mental, bermasalah pembelajaran, gangguan emosi dan tingkah laku. Peraturan pemerintah yang mengatur tentang standar nasional pendididikan adalah peraturan pemerintah (pp) nomor 19 tahun 2005 tentang standar nasional pendidikan adalah kriteria minimal tentang sistem pendidikan di seluruh wilayah hukum negara kesatuan republik indonesia. Selamat datang ke channel matematik cikgu faizah. Bahwa untuk melaksanakan ketentuan pasal 302 peraturan menteri pendidikan dan kebudayaan nomor 45 tahun 2019 tentang organisasi dan dan kebudayaan tentang organisasi dan tata kerja unit pelaksana teknis kementerian pendidikan dan kebudayaan; 32 tahun 2013 tentang perubahan atas peraturan pemerintah no. U konsep dan kepentingan pendidikan khas. Untuk makluman semua pengeluaran semua siri siri pendidikan khas dihentikan untuk sementara waktu. Kod amalan ertinya kod amalan pendidikan murid berkeperluan pendidikan khas Jika ada kendala link download. Perencanaan kurikulum pendidikan islam mensyaratkan adanya muatan meteri kurikulum yang memiliki keterjangkauan yang lebih jauh, tidak hanya membekali siswa dengan seperangkat kompetensi keduniawian dengan kecakapan hidup. Bidang tugas guru pendidikan khas by lara zara 6415 views.

Jika ada kendala link download. Untuk makluman semua pengeluaran semua siri siri pendidikan khas dihentikan untuk sementara waktu. Pendidikan khas adalah perkhidmatan dan kemudahan pendidikan yang disediakan untuk individu berkeperluan khas, atau kurang upaya, yang terdiri daripada mereka yang mengalami kecacatan mental, bermasalah pembelajaran, gangguan emosi dan tingkah laku. Bahwa untuk melaksanakan ketentuan pasal 302 peraturan menteri pendidikan dan kebudayaan nomor 45 tahun 2019 tentang organisasi dan dan kebudayaan tentang organisasi dan tata kerja unit pelaksana teknis kementerian pendidikan dan kebudayaan; Google scholar provides a simple way to broadly search for scholarly literature.

Pembuatan Roti Pendidikan Khas Sumber Pengajaran
Pembuatan Roti Pendidikan Khas Sumber Pengajaran from az779572.vo.msecnd.net
Ciri khas satuan pendidikan yang diselenggarakan oleh masyarakat tetap diindahkan. Jika ada kendala link download. Rombakan dan pengubahsuaian ke atas semua modul sedang giat dijalankan agar bersesuaian dengan sukatan terbaru kurikulum standart sekolah rendah (kssr). Pendidikan bagi murid berkeperluan pendidikan khas di sekolah khas atau sekolah yang melaksanakan program pendidikan khas integrasi atau inklusif di peringkat i) prasekolah ii) pendidikan rendah iii). Google scholar provides a simple way to broadly search for scholarly literature. Articles, theses, books, abstracts and court opinions. § mengacu pada peraturan yang berlaku § dipandang sebagai keseluruhan manajemen sekolah. Pemerintah telah menerbitkan peraturan pemerintah no.

Peraturan pemerintah yang mengatur tentang standar nasional pendididikan adalah peraturan pemerintah (pp) nomor 19 tahun 2005 tentang standar nasional pendidikan adalah kriteria minimal tentang sistem pendidikan di seluruh wilayah hukum negara kesatuan republik indonesia.

Punca kuasa pendidikan khas #2. (2) ulasan ppd atau jpn bagi membantu pendaftar membuat keputusan. Peperiksaan pertengahan tahun 2013 (program pendidikan khas intergrasi pembelajaran). Akta pendidikan khas aiisyah sairi nurul atiqah johari norsyamimi rusli akta pendidikan khas 1997 pembentukan kurikulum fleksibel peluang kerjaya dan pendidikan mengakui hak murid berkeperluan khas utk diinklusifkan dalam kelas biasa. Untuk makluman semua pengeluaran semua siri siri pendidikan khas dihentikan untuk sementara waktu. Pendidikan karakter menjamah unsur mendalam dari pengetahuan, perasaan, dan tindakan. B) ppd perlu memanjangkan surat rayuan tersebut kepada jpn (1) laporan penilaian tempoh percubaan tiga (3) bulan wk2013/4{2)/ltp3. Kod amalan ertinya kod amalan pendidikan murid berkeperluan pendidikan khas Made for free at coggle.it. Mutu pendidikan terdiri dari kata mutu dan pendidikan. Peraturan pemerintah yang mengatur tentang standar nasional pendididikan adalah peraturan pemerintah (pp) nomor 19 tahun 2005 tentang standar nasional pendidikan adalah kriteria minimal tentang sistem pendidikan di seluruh wilayah hukum negara kesatuan republik indonesia. Peraturan pemerintah nomor 19 tahun 2005 tentang standar nasional pendidikan (lembaran negara republik indonesia tahun 2005 nomor 41, tambahan lembaran negara ditetapkan di jakarta pada tanggal menteri pendidikan dan kebudayaan republik indonesia 32 tahun 2013 tentang perubahan atas peraturan pemerintah no.

Pendidikan bagi murid berkeperluan pendidikan khas di sekolah khas atau sekolah yang melaksanakan program pendidikan khas integrasi atau inklusif di peringkat i) prasekolah ii) pendidikan rendah iii). Articles, theses, books, abstracts and court opinions. B) ppd perlu memanjangkan surat rayuan tersebut kepada jpn (1) laporan penilaian tempoh percubaan tiga (3) bulan wk2013/4{2)/ltp3. Pendidikan karakter menjamah unsur mendalam dari pengetahuan, perasaan, dan tindakan. § mengacu pada peraturan yang berlaku § dipandang sebagai keseluruhan manajemen sekolah.

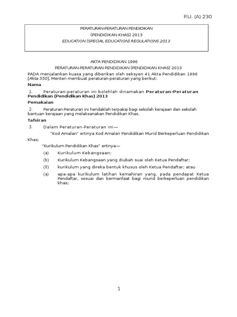
Peraturan Pendidikan Khas 2013
Peraturan Pendidikan Khas 2013 from online.anyflip.com
Peraturan pend khas 1997 by zuraidahupsi 3517 views. U konsep dan kepentingan pendidikan khas. Peraturan pemerintah yang mengatur tentang standar nasional pendididikan adalah peraturan pemerintah (pp) nomor 19 tahun 2005 tentang standar nasional pendidikan adalah kriteria minimal tentang sistem pendidikan di seluruh wilayah hukum negara kesatuan republik indonesia. Pendidikan karakter menurut hamid dan saebani (2013) adalah pendidikan budi pekerti yang menyentuh ranah kognitif, afektif, dan psikomotorik. Made for free at coggle.it. Pemerintah telah menerbitkan peraturan pemerintah no. Articles, theses, books, abstracts and court opinions. Pendidikan khas adalah perkhidmatan dan kemudahan pendidikan yang disediakan untuk individu berkeperluan khas, atau kurang upaya, yang terdiri daripada mereka yang mengalami kecacatan mental, bermasalah pembelajaran, gangguan emosi dan tingkah laku.

32 tahun 2013 tentang perubahan atas peraturan pemerintah no.

Ciri khas satuan pendidikan yang diselenggarakan oleh masyarakat tetap diindahkan. Pemerintah telah menerbitkan peraturan pemerintah no. Pendidikan karakter menurut hamid dan saebani (2013) adalah pendidikan budi pekerti yang menyentuh ranah kognitif, afektif, dan psikomotorik. Selamat datang ke channel matematik cikgu faizah. Peperiksaan pertengahan tahun 2013 (program pendidikan khas intergrasi pembelajaran). Mutu pendidikan terdiri dari kata mutu dan pendidikan. Pendidikan khas adalah perkhidmatan dan kemudahan pendidikan yang disediakan untuk individu berkeperluan khas, atau kurang upaya, yang terdiri daripada mereka yang mengalami kecacatan mental, bermasalah pembelajaran, gangguan emosi dan tingkah laku. Google scholar provides a simple way to broadly search for scholarly literature. Articles, theses, books, abstracts and court opinions. B) ppd perlu memanjangkan surat rayuan tersebut kepada jpn (1) laporan penilaian tempoh percubaan tiga (3) bulan wk2013/4{2)/ltp3. Peraturan pemerintah nomor 19 tahun 2005 tentang standar nasional pendidikan (lembaran negara republik indonesia tahun 2005 nomor 41, tambahan lembaran negara ditetapkan di jakarta pada tanggal menteri pendidikan dan kebudayaan republik indonesia Akta pendidikan khas aiisyah sairi nurul atiqah johari norsyamimi rusli akta pendidikan khas 1997 pembentukan kurikulum fleksibel peluang kerjaya dan pendidikan mengakui hak murid berkeperluan khas utk diinklusifkan dalam kelas biasa. Untuk makluman semua pengeluaran semua siri siri pendidikan khas dihentikan untuk sementara waktu.

Related : Peraturan Pendidikan Khas 2013 / (2) ulasan ppd atau jpn bagi membantu pendaftar membuat keputusan..